广东省2011年专插本招生考试高等数学真题及答案!专插本高等数学是广东专插本较难的科目,需要多做练习巩固,下面是广东省2011年专插本招生考试高等数学真题及答案,同学们记得做完再对答案哦!
广东省2011年专插本招生考试高等数学真题:



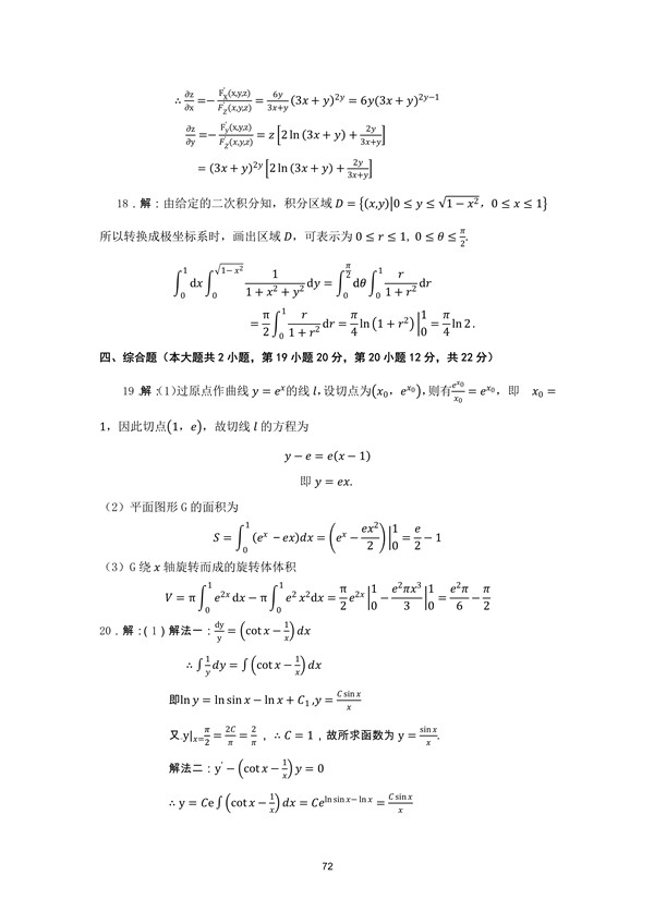
广东省2011年专插本招生考试高等数学真题答案:




在线留言领取最新考纲真题、官方教材5G资料包!
以上就是对于【广东省2011年专插本招生考试高等数学真题及答案!】方面的内容,更多【广东省2011年专插本招生考试高等数学真题及答案!】相关资讯,请继续关注广东专插本备考网(www.haixuelingke.com),需要获取广东专插本历年真题、复习资料、各科目的考试教材的同学,可以在线留言给老师!