2022年广东专插本高等数学真题及答案正式公布!高等数学是2022年广东专插本工学类专业的专业基础课,对于专插本拿分是很关键的,下面整理了2022年广东专插本高等数学真题及答案!
2022年广东专插本高等数学真题:




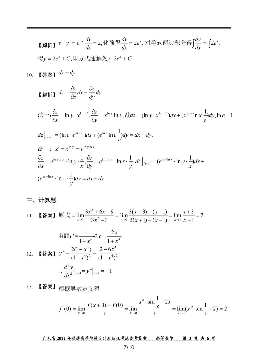
2022年广东专插本高等数学真题答案:






在线留言领取最新考纲真题、官方教材5G资料包!
以上就是对于【2022年广东专插本高等数学真题及答案正式公布!】方面的内容,更多【2022年广东专插本高等数学真题及答案正式公布!】相关资讯,请继续关注广东专插本备考网(www.haixuelingke.com),需要获取广东专插本历年真题、复习资料、各科目的考试教材的同学,可以在线留言给老师!